
为了解决这些问题,吉恒开发了[1]离子氮化技术——一种先进的等离子辅助处理解决方案。

模具和零部件氮化处理实况图
离子氮化技术作为一种表面处理工艺,具有以下几点优势:
§ 工艺温度范围广:离子氮化从380℃起即可进行氮化处理,针对钛等特殊材料也可在850℃的高温下进行氮化处理,有效解决传统氮化导致的零件变形;
§ 可氮化的材料种类全: 离子氮化可覆盖主流的SKD11、H13、P20、不锈钢、钛合金等多种材料;
§ 提升产品表面硬度: 材料氮化后硬度可达到HV800-HV1200,氮化深度可调( 5丝-50丝),材料变形量小;
§ 节能环保: 离子氮化是在低气压下以离子注入的方式进行,因而耗气量极少(仅为气体渗氮的百分之几),离子氮化法不是依靠化学反应作用被称作二十一世纪的“绿色”氮化法;
§ 工艺时间短: 由于离子氮化法利用了离子化了的气体的溅射作用,可显著缩短氮化时间(仅为传统气体氮化时间的1/3~1/5);
§ 可与PVD涂层有效结合:传统氮化工艺表层会有化合物层,化合物层与PVD涂层不能有效结合。相比之下,离子氮化工艺能够生成不含化合物层的渗氮表面,从而为PVD涂层提供了一个更为理想的结合基底,实现两者之间更佳的附着力和兼容性,进而提升最终产品的性能和耐久性。
吉恒氮化测试效果图:

吉恒的离子氮化工艺,通过加热-离子渗氮-冷却三个步骤即可完成,期间严格控制时间、温度参数,不仅匹配产品的热处理回火要求,也有效保证了渗氮层的效果。经过离子氮化处理后,与PVD涂层配合使用,能显著提高模具使用寿命,极大地增强了抗磨损性能,并且保留了原有的光滑度和精度。
以SKD11材料为例:材料回火温度520度,渗层深度要求10丝,离子氮化温度500度以内,氮化后渗层12丝,渗层硬度>HV1000。
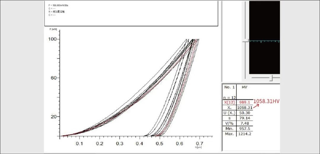
模具产品氮化前后硬度对比图:

氮化前

氮化后
依据图示可知:产品在氮化处理前的硬度测量值为693.27 HV,经过氮化工艺处理后,其硬度显著提升至1058.31 HV。这一结果表明,氮化处理有效地增强了产品的硬度特性。
吉恒的离子氮化技术作为模具表面处理技术的一项重要进步,体现了等离子辅助氮化与扩散涂层技术的巧妙结合。这一先进技术不仅在模具制造中展现出卓越性能,其应用范围更是延伸至汽车制造、农业机械、家居与家电、医疗科技以及包装工业等多个关键行业。
[1]离子渗氮原理:离子渗氮又称辉光渗氮,是利用辉光放电原理进行的。离子渗氮是在充以含氮气体的低真空炉体内,把金属工件作为阴极,炉体为阳极,通电后介质中的氮氢原子在高压直流电场下被电离,在阴阳极之间形成等离子区。在等离子区强电场作用下,氮和氢的正离子以高速向工件表面轰击。离子的高动能转变为热能,加热工件表面至所需温度。由于离子的轰击,工件表面产生原子溅射,因而得到净化,同时由于吸附和扩散作用,氮遂渗入工件表面。